聚联枯阻燃剂深度科普:高分子材料的防火卫士

从智能马桶盖板到新能源汽车零部件,高分子材料(俗称塑料)已经渗透到现代生活的方方面面。然而,大多数塑料(如聚丙烯PP)的易燃性为其应用带来了安全隐患。为了赋予材料“防火”的属性,阻燃剂成为关键的改性助剂。在众多技术路线中,有一种名为“聚联枯”的物质,正以其独特的作用机制和高效能,在行业内崭露头角,成为解决传统阻燃方案诸多痛点的“钥匙”。
本文将带您从实验室走向生产线,深入探讨聚联枯的化学本质、阻燃机理,以及它在不同细分场景下的差异化表现和技术选型考量。
一、 什么是聚联枯?
(一) 化学揭秘
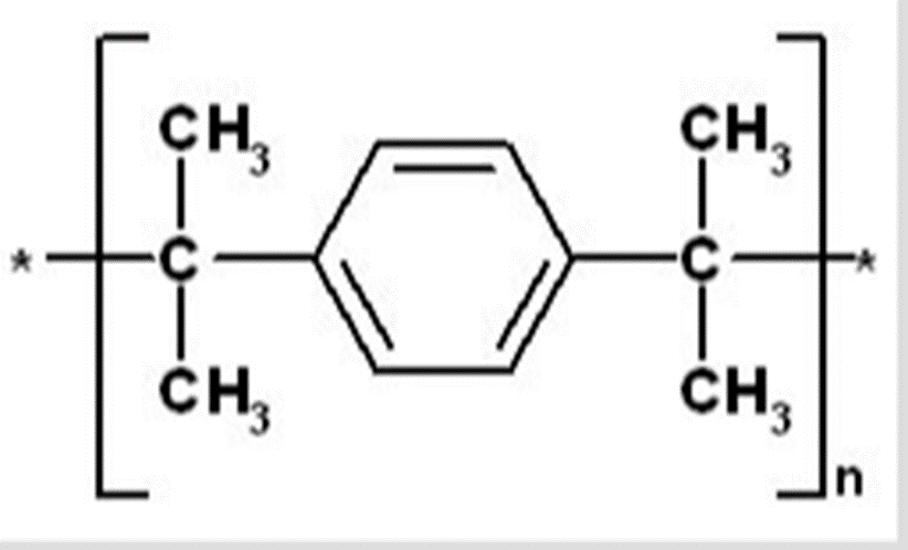
聚联枯,化学全称为对异丙苯聚合物,是一种分子量在350-380左右的低聚物,CAS登录号为25822-43-9。在常温下,它呈现为白色粉末或结晶状。
从化学结构上看,它与另一种常见的化学品“联枯”(2,3-二甲基-2,3-二苯基丁烷)结构相似,可以看作是联枯的齐聚物。这种独特的结构赋予它一个关键特性:分子中的季碳原子之间的碳-碳键稳定性不高,在受热条件下极易离解形成自由基。这一特性,正是它发挥阻燃作用的核心物理基础。

(二) 阻燃机理:高效的“熔体流动加速器”
聚联枯的阻燃机制并非传统意义上的隔绝氧气或稀释可燃气体,而是走的另一条高效路径——凝聚相阻燃机理。
在溴系阻燃体系中,聚联枯通常作为高效的阻燃增效协效剂使用。其工作原理分为两步:
自由基捕捉:当添加了聚联枯的高聚物燃烧时,聚联枯受热分解,产生稳定的自由基。这些自由基可以干扰和终止聚合物燃烧过程中发生的自由基链式反应,减缓燃烧速率。
促进熔滴:更关键的是,聚联枯能够引发高聚物分子链在叔碳位置发生断链。这种断链行为迅速降低了燃烧区域熔融物的黏度和分子量。低粘度的熔体在重力作用下迅速滴落,这一过程被称为“熔滴效应”。滴落的熔体能带走燃烧界面的大量热量,同时使材料快速离开火源,从而阻止燃烧的持续进行,达到阻燃的目的。

(三) 核心优势:高效与环保并重
相比于传统的溴-锑阻燃体系,聚联枯展现出了显著的综合优势:
添加量少,阻燃效率高:传统溴-锑体系在聚丙烯(PP)中通常需要8%左右的添加量才能达到UL94 V-2阻燃级别,而采用以聚联枯为核心的复配体系,添加量仅需2-3%即可达到同样标准。这不仅降低了成本,也减少了对材料本身力学性能的影响。
替代三氧化二锑,符合环保趋势:三氧化二锑作为重金属,其毒性和环保问题日益受到关注,欧盟法规(EU)2020/1245对其迁移量进行了严格限制。聚联枯可以完美替代三氧化二锑,帮助材料满足更严苛的环保法规要求。
对力学性能影响小:由于添加量少,聚联枯对基材的拉伸强度、冲击强度等物理机械性能影响较小,能很好地保持材料的原有特性。

二、 应用篇——从选型到实战,解锁细分场景
对于改性行业的技术人员而言,聚联枯不仅仅是一个粉末状的添加剂,更是一把帮助我们打开高性能、高外观、高环保阻燃材料之门的钥匙。在实际应用中,聚联枯通常与次磷酸铝、三聚氰胺氢溴酸盐等复配,形成完整的低卤环保阻燃剂体系。
(一) 高光与耐热:一场关于“颜值”与“内涵”的技术较量
对于智能马桶盖板、高端小家电外壳等高光聚丙烯(PP)材料,客户的要求不仅是阻燃,还要“颜值在线”——表面光泽度高、长期使用不喷霜、不析出。

行业内常用的传统联枯体系虽然添加量少,但存在先天不足:其分解温度较低(TGA 1%失重温度约120℃)。这意味着在注塑成型的高温剪切(170-200℃)或产品长期在温热环境下,联枯容易分解成小分子物质,迁移到制品表面,导致“雾化”现象——即制品表面发白、模糊,甚至冷凝在车窗玻璃上的油雾。
新型聚联枯体系(如耐温型)正是为解决这一痛点而生。
数据说话:实验对比显示,在相同配方和测试条件下(DIN 75201-B雾化测试),采用传统联枯体系的材料在铝箔上留下了明显的冷凝析出物,而采用耐温型聚联枯体系的材料表面则洁净如初。
技术内涵:新型聚联枯通过结构升级,具有更高的热分解温度。它不仅在加工中更稳定,减少了模垢的产生,延长了连续生产周期;更重要的是,它能通过严苛的汽车内饰雾化测试,为材料进军对气味和挥发性要求极高的领域扫清障碍。

(二) 应用场景矩阵:聚联枯体系的三大战场
根据不同的加工条件和最终用途,聚联枯体系已演化出针对性的解决方案:
1. 电子电器(标准级)
这是聚联枯最早渗透的领域。针对电源开关、接线端子、继电器底座等,采用传统联枯复配体系,添加量仅需2-3%即可稳定达到UL94 V-2阻燃级别。其优势在于极高的阻燃效率和对材料力学性能的最小影响。
2. 智能卫浴与家电(高光/耐析出级)
智能马桶盖板、高端吹风机外壳等产品,对表面质量和长期耐老化要求极高。推荐选用聚联枯升级体系(如耐温型)。它不仅保留了低添加量的优势,更重要的是具备优异的抗析出性能,确保产品在高温高湿环境中使用数年,依然光亮如新。

3. 新能源汽车与挤出板材(耐热老化级)
这是聚联枯应用的前沿阵地。新能源汽车的电池模组支架、高压连接器,以及需要热成型的挤出板材,对材料的长期热氧老化稳定性提出了挑战。传统联枯在高温下的自由基引发可能导致材料在服役过程中提前老化变脆。而新一代耐温型聚联枯,因其更高的引发温度窗口,在材料加工时能保持“沉睡”,仅在火灾高温时才“唤醒”并发挥作用,极大地提升了制品的长期使用寿命。
(三) 选型指南:如何用好聚联枯这把“双刃剑”
聚联枯的高效源于其自由基机理,但也需要我们在应用中注意几点,才能发挥其最大效能:
基础树脂的选择:聚联枯的熔滴机理依赖于聚合物主链的断链。因此,它在聚丙烯(PP)中效果最佳。对于本身成炭性较强或不易熔滴的材料(如PC、PET),聚联枯通常不单独使用,而是与其他成炭型阻燃剂复配。
加工温度的匹配:这是选型的核心。务必根据您的加工温度和制品使用环境,向供应商索取聚联枯产品的TGA(热重分析)曲线。确保加工温度远低于其剧烈分解温度,而燃烧温度(通常>300℃)恰好在其高效引发区间。
协同复配的艺术:在实际配方中,聚联枯极少单打独斗。它与溴源(如三聚氰胺氢溴酸盐)、磷源(如次磷酸铝)构成了经典的“氮-磷-溴”协效体系。聚联枯负责引发断链滴落,溴系捕捉自由基,磷系促进成炭,三者协同,实现了1+1+1>3的阻燃效果。

三、 普塞呋:为您提供专业的聚联枯应用解决方案
在深入探讨了聚联枯的技术原理与应用实战之后,针对聚联枯及其升级应用,普塞呋推出了成熟的系列化产品线,以满足不同场景的差异化需求:
Nitrophor™ FR1000(联枯体系):适用于电子电器等标准阻燃场景。该产品在典型配方中添加量仅需2-3%即可稳定达到UL94 V-2阻燃级别,具有阻燃效率高、对力学性能影响小的特点,是替代传统溴-锑体系的理想选择。
Nitrophor™ FR2000(耐温体系):针对高光制品和耐老化要求的升级产品。该体系采用分解温度更高的自由基引发剂复配而成,雾化性能数据显著优于传统联枯体系,在DIN 75201-B雾化测试中表现出优异的耐析出稳定性,特别适用于智能马桶盖板、高端家电外壳及汽车内饰件等对表面质量和长期耐老化要求严苛的应用场景。
普塞呋生产的所有无卤阻燃剂产品兼具优异的阻燃性能与环境兼容性。凭借稳定的产品质量与技术创新能力,我们的产品已广泛应用于改性塑料和防火涂料两大核心领域,合作对象包括国恩股份、会通股份、顺威股份等上市企业,防火涂料领域服务于阿克苏诺贝尔(AkzoNobel)、庞贝捷(PPG)、西卡(Sika)、海虹(Hemple)等国际知名涂料企业。
未来,普塞呋将持续紧跟全球新材料绿色化升级趋势,深化技术研发与客户合作,致力于成为全球无卤阻燃剂领域的领军企业。无论您面临的是严苛的欧盟法规、汽车内饰的低气味难题,还是智能家电的高外观品质追求,普塞呋的技术团队都愿与您携手,共同探索聚联枯体系的无限可能。
四、 展望:环保与高性能的平衡木
随着全球对塑料循环经济的关注度日益提升,阻燃剂的未来不仅要解决“烧不烧”的问题,还要解决“能不能循环”的问题。聚联枯体系凭借其低添加量(意味着更少的杂质干扰)、不含持久性有机污染物、无需重金属协效剂的优势,在满足环保法规的同时,最大程度地保留了基础树脂的可回收性。
无论是应对严苛的欧盟法规,还是攻克汽车内饰的低气味难题,或是提升智能家电的质感,深入理解并精准选用聚联枯,都将成为我们在技术红海中脱颖而出的核心竞争力。


