聚磷酸铵(APP)在钢结构防火涂料中的应用

一、钢结构防火涂料
钢结构防火涂料是涂覆于钢材表面的特种功能材料,通过物理或化学作用延缓火灾中钢材的温升速度,确保结构在高温下保持承载能力。在日常生活中主要应用于高层建筑、公共设施、工业厂房、交通枢纽等。根据现行国标GB14907-2018的要求,钢结构防火涂料可以分为膨胀型和非膨胀型。非膨胀型防火涂料依靠无机材料(如硅酸盐、蛭石等)的低导热性形成致密隔热层,延缓热量传递,防火过程不产生膨胀效果。而膨胀型防火涂料,是一种通过高温膨胀形成隔热炭层实现防火功能的特种涂料,与非膨胀型涂料形成鲜明对比。

当前市场上主流的的膨胀型防火涂料皆使用聚磷酸铵+季戊四醇+三聚氰胺的经典膨胀体系,而在这三者中,聚磷酸铵作为无机高聚物具有复杂的结构和相对较高的生产技术难度,而且不同厂家的质量管控参差不齐,使得聚磷酸铵成为影响膨胀型防火涂料性能最大的原材料。

二、聚磷酸铵概述

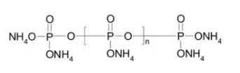
聚磷酸铵结构式
(1)基本概述:聚磷酸铵(CAS号:68333-79-9)是一种无机高分子聚合物,早期的APP聚合度普遍偏低(少于20),作为肥料中的一种应用在农业领域中,后来又作为水溶性阻燃剂用于木材和纸张的阻燃浸渍处理。但低聚的APP容易吸潮,而且耐水性差,最初在涂料中应用效果并不理想,后来人们发现,高聚合度的APP能够很好的改善这些问题,对APP进行了各项深入研究,经过几十年的发展,作为高效无卤阻燃剂在涂料领域中有着不可替代的作用,大量应用于膨胀型钢结构防火涂料。

(2)生产技术:生产聚磷酸铵的原材料有磷酸、氨气、磷酸氢二铵、磷酸二氢铵、尿素、三聚氰胺、五氧化二磷等,早期会使用其中两种或多种以上的材料在不同的设备中进行合成反应,随着技术的进步以及市场对聚磷酸铵更加严格的要求,当前高聚合度产品往往使用五氧化二磷+磷酸氢二铵+氨气的体系在捏合机中完成合成反应,而这其中对各种工艺系数的控制对产品质量起着至关重要的作用,也拉开了专业生产厂家(如清远普塞呋)与其它厂家的差距。
(3)物性参数:在防火涂料应用领域,典型的高聚合度聚磷酸铵如清远普塞呋的产品EPFR-APP224产品物性参数如下:

三、聚磷酸铵在不同应用场景下的型号推荐
除了防火机理,钢结构防火涂料还可以进行其它分类,而且不同的分类对聚磷酸铵有有各自的要求,如耐水、耐候、存储稳定性等。因此,聚磷酸铵的性能也不断的优化,不仅仅在于合成过程中的参数配置,后期的改性处理也显得尤为重要。

四、总结
钢结构防火涂料通过多重阻燃机制为现代建筑提供“时间屏障”,其应用从摩天大楼到工业设施,直接关系到火灾中的人员安全与财产保护。多元化的使用要求也对聚磷酸铵做出了考验,正确选择聚磷酸铵是每一家防火涂料企业的重要抉择,是整个消防安全体系中不可或缺的一环。
APP 作为无卤阻燃剂的代表,凭借安全环保、高效阻燃、适用广泛的优势,正推动材料行业绿色转型。以清远普塞呋为代表的企业,通过技术创新与品质管控,搭建起 APP 技术与产业应用的桥梁。未来,随着改性技术突破与应用场景拓展,APP 将在更多领域发挥关键作用,清远普塞呋公司聚焦无卤阻燃剂核心赛道,主要产品涵盖 聚磷酸铵 APP、三聚氰胺氰脲酸盐 MCA、焦磷酸哌嗪 PAPP、二乙基次磷酸盐 ADP、三氧化二锑替代物 等全系列无卤阻燃剂产品,持续以客户需求为导向,为构建安全环保的材料体系贡献力量。点击这里查看普塞呋-聚磷酸铵产品详情。


